Ads

close
close
How To Calculate, Formula For, Variance And Standard Deviation For
How To Calculate, Formula For, Variance And Standard Deviation For from www.youtube.com

Calculating The Range Variance And Standard Deviation Worksheet Answers

Introduction

Are you having difficulty understanding the range variance and standard deviation worksheet answers? Don't worry! In this article, we will discuss how to calculate the range variance and standard deviation worksheet answers in a simple, straightforward manner. We will also provide examples of the calculations and how to interpret them.

How to Calculate Range Variance and Standard Deviation

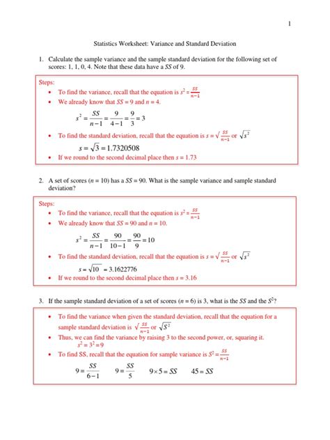
To calculate the range variance and standard deviation, first, enter the numbers that you would like to calculate into a worksheet. Then, calculate the range, which is the difference between the largest and smallest numbers. Next, calculate the variance, which is the average of the squared differences between each number and the mean. Finally, calculate the standard deviation, which is the square root of the variance.

Examples

For example, if you have the following numbers: 3, 5, 8, 10, the range is 7 (10 - 3 = 7), the variance is 4.5 (3, 5, 8 and 10 are 1, 3, 5, and 7 away from the mean, 6; 4.5 = 1^2 + 3^2 + 5^2 + 7^2/4), and the standard deviation is 2.12 (2.12 = square root of 4.5).

Interpreting the Results

The range is the difference between the highest and the lowest number, and it gives the reader an idea of the range of values. The variance is the average of the squared differences between each value and the mean, and it gives the reader an idea of how spread out the numbers are. The standard deviation is the square root of the variance, and it gives the reader an idea of the degree of variation.

Conclusion

Calculating the range variance and standard deviation worksheet answers is a simple process, and understanding the results can be quite informative. With this knowledge, you should be able to answer any questions you may have about the range variance and standard deviation worksheet.

Calculating The Range Variance And Standard Deviation Worksheet Answers

How To Calculate, Formula For, Variance And Standard Deviation For
How To Calculate, Formula For, Variance And Standard Deviation For from www.youtube.com

Calculating The Range Variance And Standard Deviation Worksheet Answers

Introduction

Are you having difficulty understanding the range variance and standard deviation worksheet answers? Don't worry! In this article, we will discuss how to calculate the range variance and standard deviation worksheet answers in a simple, straightforward manner. We will also provide examples of the calculations and how to interpret them.

How to Calculate Range Variance and Standard Deviation

To calculate the range variance and standard deviation, first, enter the numbers that you would like to calculate into a worksheet. Then, calculate the range, which is the difference between the largest and smallest numbers. Next, calculate the variance, which is the average of the squared differences between each number and the mean. Finally, calculate the standard deviation, which is the square root of the variance.

Examples

For example, if you have the following numbers: 3, 5, 8, 10, the range is 7 (10 - 3 = 7), the variance is 4.5 (3, 5, 8 and 10 are 1, 3, 5, and 7 away from the mean, 6; 4.5 = 1^2 + 3^2 + 5^2 + 7^2/4), and the standard deviation is 2.12 (2.12 = square root of 4.5).

Interpreting the Results

The range is the difference between the highest and the lowest number, and it gives the reader an idea of the range of values. The variance is the average of the squared differences between each value and the mean, and it gives the reader an idea of how spread out the numbers are. The standard deviation is the square root of the variance, and it gives the reader an idea of the degree of variation.

Conclusion

Calculating the range variance and standard deviation worksheet answers is a simple process, and understanding the results can be quite informative. With this knowledge, you should be able to answer any questions you may have about the range variance and standard deviation worksheet.

No comments:

Post a Comment